Anders B. Nygaard

Biomedical researcher, lecturer, and data science consultant

prof_pic_any.jpeg

Oslo, Norway


About me

Hello! I’m Anders, a researcher and data scientist at Oslo University Hospital.

My work revolves around a variety of research projects, with a current focus on COVID-19, clinical trials, and epidemiology. With a background in microbiology and bioinformatics, I bring a unique perspective to my research. My journey has led me through diverse roles, including two years as an indoor climate and construction consultant before my current position.

Beyond my research, I’m passionate about education. I’m a lecturer at Oslo Metropolitan University, where I lecture in MSc. courses on indoor climate, sanitation, and health for engineering students at the Faculty of Technology, Art and Design. I also host workshops on data science and academic writing for PhD students at the Faculty of Health Sciences.

Though my company ANYthings, I’ve taken on consulting and industry projects, guiding clients through data management and analysis challenges. To learn more about my projects, both academically and as a consultant, please explore the “Projects and consulting” section.

For insights into my career path, experiences, and extracurricular activities, explore the “CV” section. You can also find some of my talks and lectures in the “Talks” section.

Feel free to reach out by email if you have questions or potential project ideas.

Thank you for visiting my page!


latest posts

selected publications

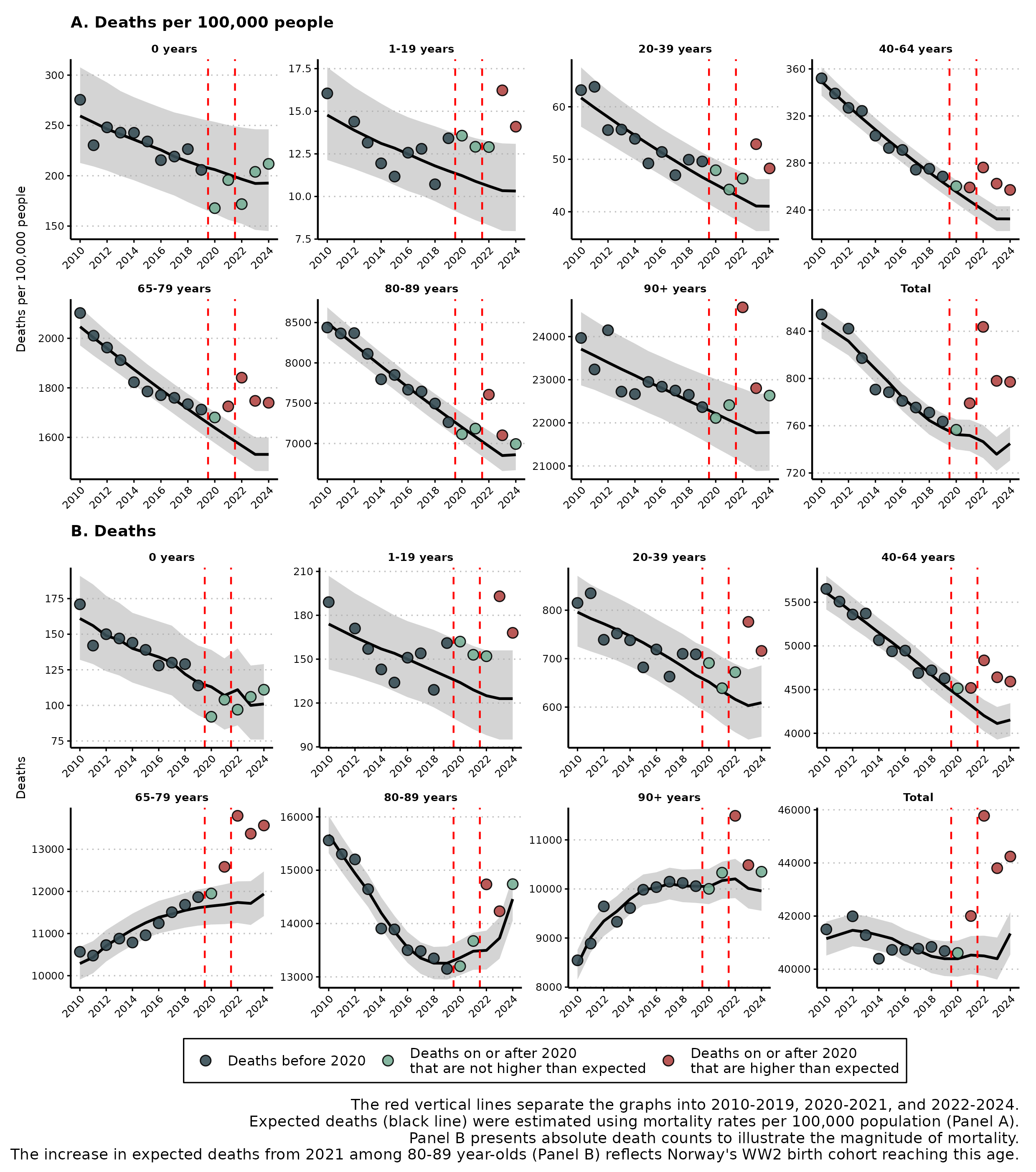
  1. sjph_excess.png
    Excess all-cause mortality in Norway in 2024
    Richard Aubrey White ,  Anders B. Nygaard ,  Arne Søraas , and 1 more author
    Scandinavian Journal of Public Health, Sep 2025
    Publisher: SAGE Publications Ltd STM
  2. persisting_symptoms.jpeg
    Temporal trajectories of long-COVID symptoms in adults with 22 months follow-up in a prospective cohort study in Norway
    Merete Ellingjord-Dale ,  Anders Benteson Nygaard ,  Nathalie C. Støer , and 11 more authors
    International Journal of Infectious Diseases, Oct 2024
    Authorship: Shared first author
  3. brief_a_freq_figure_v1.png
    Executive deficits after SARS-CoV-2 infection: A cross-sectional population study
    S. Buer ,  B. I. Hagen ,  A. Søraas , and 9 more authors
    Brain, Behavior, & Immunity - Health, Nov 2024
    Authorship: Last author
  4. Post-COVID-19 condition symptoms 6–12 months after hospitalisation in Wuhan
    Arne Søraas ,  Sonja H. Brunvoll ,  Anders B. Nygaard , and 2 more authors
    The Lancet, Apr 2024
  5. Post-acute symptoms 3-15 months after COVID-19 among unvaccinated and vaccinated individuals with a breakthrough infection
    Sonja H. Brunvoll ,  Anders B. Nygaard ,  Morten W. Fagerland , and 4 more authors
    International Journal of Infectious Diseases, Jan 2023
    Authorship: Shared first author
  6. bmj_cloc.jpg
    Prevention of covid-19 and other acute respiratory infections with cod liver oil supplementation, a low dose vitamin D supplement: quadruple blinded, randomised placebo controlled trial
    Sonja H. Brunvoll ,  Anders B. Nygaard ,  Merete Ellingjord-Dale , and 12 more authors
    BMJ, Sep 2022
    Authorship: Shared first author
  7. scirep_nano.png
    A preliminary study on the potential of Nanopore MinION and Illumina MiSeq 16S rRNA gene sequencing to characterize building-dust microbiomes
    Anders B. Nygaard ,  Hege S. Tunsjø ,  Roger Meisal , and 1 more author
    Scientific Reports, Dec 2020
    Authorship: First author
  8. microbiome_dust.jpg
    Longitudinal development of the dust microbiome in a newly opened Norwegian kindergarten
    Anders B. Nygaard ,  and  Colin Charnock
    Microbiome, Sep 2018
    Authorship: First author